推扬网

 找回密码
 立即注册

QQ登录

只需一步,快速开始

搜索
推扬网 门户 互联网动态 查看内容

根号2等于多少,怎么算(过程全解析)

2020-4-17 22:35| 发布者: admin| 查看: 256| 评论: 0

摘要: 首先,需要解释一下,数学中,出现指数的指数时,计算顺序:指数越高越优先。例如: 如题: 首先,需要解释一下,数学中,出现指数的指数时,计算顺序:指数越高越优先。例如: 先计算3^2=9,再计算4^9=262144 ...

首先,需要解释一下,数学中,出现指数的指数时,计算顺序:指数越高越优先。例如:

如题:

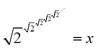
根号二的无限根号二次方,到底等于多少?

首先,需要解释一下,数学中,出现指数的指数时,计算顺序:指数越高越优先。例如:

根号二的无限根号二次方,到底等于多少?

先计算3^2=9,再计算4^9=262144。

Ok,回到正题。

一个经常被提到的解答方法是这样的:

根号二的无限根号二次方,到底等于多少?

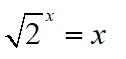
那么,无穷再加一层,还是无穷,等于原来的数(∞+1=∞),得

根号二的无限根号二次方,到底等于多少?

“瞪眼法”,立得x=2和x=4。

一个表达式,怎么会有两个解呢?问题在哪儿?而且一个无穷嵌套的根号二次方,收敛吗?不会越来越大么?

以下是完整解答。

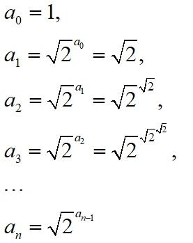
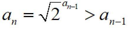
考虑如下数列:

根号二的无限根号二次方,到底等于多少?

那么:

根号二的无限根号二次方,到底等于多少?

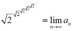
原问题就转化为一个数列极限的问题。

要考察一个数列的极限,一般分两步:

第一,确定极限是否存在;第二,计算极限。而第一步通常包括两小步,“单调性+有界性”:

首先,数列的有界性:

显然,a0,a1,a2,等等都小于2,假设对an-1,有an-1<2,那么

根号二的无限根号二次方,到底等于多少?

数学归纳法,可知an<2恒成立,同理,用类似的数学归纳法,可知an≥1。于是

数列an有界。

第二,数列的单调性:作图:

根号二的无限根号二次方,到底等于多少?

根号二的无限根号二次方,到底等于多少?

于是

根号二的无限根号二次方,到底等于多少?

单调性成立。数列an单调递增。

综上,an单调递增有极限,设极限为x。根据递推关系:

根号二的无限根号二次方,到底等于多少?

两边取极限,得

根号二的无限根号二次方,到底等于多少?

作图:

根号二的无限根号二次方,到底等于多少?

得x=2或x=4。又1≤x≤2,知x=2。(虽然计算式一样,出发点不一样。一个是基于数列的极限,另一个则是基于“无穷+1=无穷”)

完毕。

留一个小问题:

根号二的无限根号二次方,到底等于多少?

当a处于什么范围的时候,上式左边等于一个有限值?这个值是多少呢?


鲜花

握手

雷人

路过

鸡蛋

最新评论

推荐阅读
精彩推荐

广告服务|投稿要求|禁言标准|版权说明|免责声明|手机版|小黑屋|推扬网 ( 粤ICP备18134897号 )|网站地图 | 邮箱:vayae@hotmail.com

GMT+8, 2025-12-29 10:11 , Processed in 0.081234 second(s), 28 queries .

Powered by Discuz! X3.4

© 2001-2017 Comsenz Inc.

返回顶部