推扬网

 找回密码
 立即注册

QQ登录

只需一步,快速开始

搜索
推扬网 门户 互联网动态 查看内容

样本方差公式怎么计算(详解如何求方差)

2020-4-17 23:00| 发布者: admin| 查看: 706| 评论: 0

摘要: 什么是方差(Variance)?方差和标准差是测度数据变异程度的最重要、最常用的指标。 方差是各个数据与其算术平均数的离差平方和的平均数,通常以2表示。方差的计量单位和量纲不便于从经济意义上进行解释,所以实际统 ...

什么是方差(Variance)?方差和标准差是测度数据变异程度的最重要、最常用的指标。

方差是各个数据与其算术平均数的离差平方和的平均数,通常以σ2表示。方差的计量单位和量纲不便于从经济意义上进行解释,所以实际统计工作中多用方差的算术平方根——标准差来测度统计数据的差异程度。

标准差又称均方差,一般用σ表示。方差和标准差的计算也分为简单平均法和加权平均法,另外,对于总体数据和样本数据,公式略有不同。

方差的计算公式

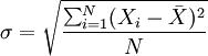
设总体方差为σ2,对于未经分组整理的原始数据,方差的计算公式为:

方差的平方根即为标准差,其相应的计算公式为:

未分组数据:

样本方差和标准差

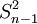
样本方差与总体方差在计算上的区别是:总体方差是用数据个数或总频数去除离差平方和,而样本方差则是用样本数据个数或总频数减1去除离差平方和,其中样本数据个数减1即n-1称为自由度。设样本方差为

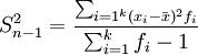
分组数据:

分组数据:

什么是方差?

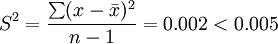
因此,该机器工作正常。

方差和标准差也是根据全部数据计算的,它反映了每个数据与其均值相比平均相差的数值,因此它能准确地反映出数据的离散程度。方差和标准差是实际中应用最广泛的离散程度测度值。

数据分析网编辑:数据小博士


鲜花

握手

雷人

路过

鸡蛋

最新评论

推荐阅读
精彩推荐

广告服务|投稿要求|禁言标准|版权说明|免责声明|手机版|小黑屋|推扬网 ( 粤ICP备18134897号 )|网站地图 | 邮箱:vayae@hotmail.com

GMT+8, 2026-1-12 13:07 , Processed in 0.071017 second(s), 29 queries .

Powered by Discuz! X3.4

© 2001-2017 Comsenz Inc.

返回顶部